杨振宁书法题字欣赏:以诺贝尔奖闻名,书法也一流!
# 头条人物
2023-01-04 15:33
点击:
诺贝尔奖获得者杨振宁,被誉为百年以来继爱因斯坦、费米之后,世界物理学界第三人!他在物理学界享有非同一般的地位。其实杨的书法也是很不错,其在书法上的造诣也是十分深厚,只是诺贝尔奖物理学家的光环太重,完全遮挡了其在书法方面的光芒。
杨振宁的书法受前岳父杜聿明的影响。杨振宁曾称赞启功先生的书法很美,问启功先生:“我的岳父,您认识吗?他也很喜欢书法,字写得也很好!”启功先生说:“我当然认识,杜聿明书法,杜老有一件好东西,我也见过,摹的手卷,是真的,太好了!”杨振宁说:“我没有见过!”启先生说:“这个贴现在在辽宁博物馆收藏着”。
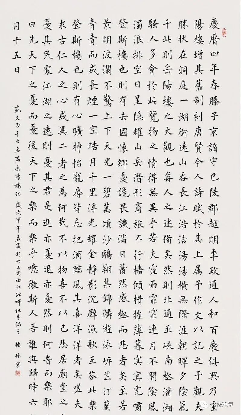
扫描君为大家找出了一下杨振宁先生的书法作品,以下图片均为扫描全能王扫描后效果。范仲淹《岳阳楼记》(节选)

书写曹操《观沧海》

对联



题字







轮值主编:韩好、成才
本网部分文稿源于网络,版权归原创,本站整理发表的目的在于公益传播,分享读者。
如您不愿参与公益共享或认为权益受到侵犯,请与编者联系,我们核实后积极回应诉求并及时删除,谢谢您的理解和支持。